Olá pessoal tudo bem?
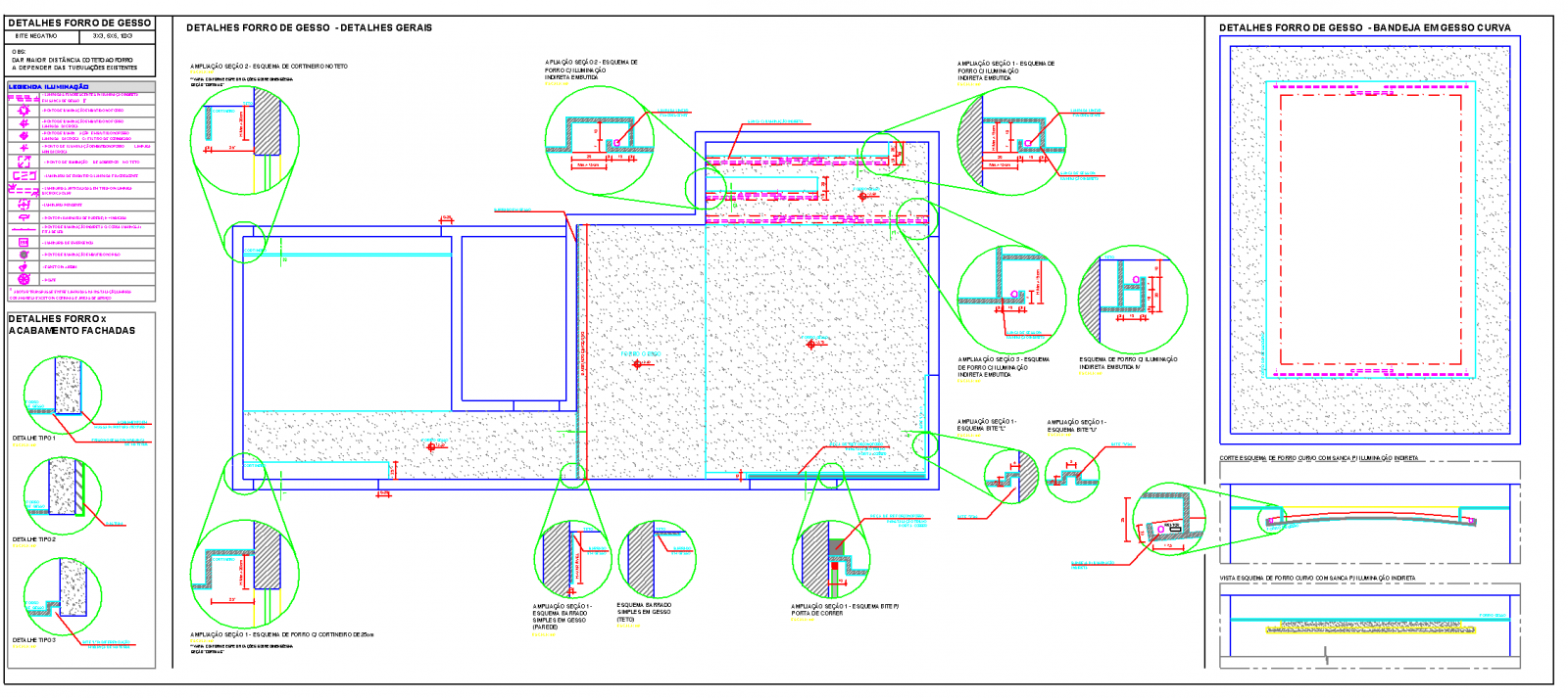
A nossa colega Kellen M. forneceu esses detalhamentos no forro em gesso que podem ajudar bastante na hora da produção (AutoCAD).
O link do arquivo de detalhamento em gesso se encontra no final do artigo.
Caso queira aprender mais sobre como projetar corretamente com detalhamentos impecáveis, acesse: Treinamento de AutoCAD completo.
Na imagem abaixo, você encontrará o modelo e ao lado dele o detalhamento.

9 Detalhamentos no forro em Gesso
Os detalhamentos em gesso que você encontrará são os seguintes:
- Detalhamento de forro: Sanca Aberta
- Detalhamento de forro com iluminação indireta embutida.
- Detalhamento de forro curvo com iluminação indireta embutida.
- Detalhamento de rasgo no forro com iluminação indireta embutida.
- Detalhamento de cortineiro no teto
- Esquema e detalhes de tabicas em L
- Esquema e detalhes de tabicas em U
- Esquema e detalhes de cortineiro.
- Esquema e detalhes de porta de correr.
Para aprender mais sobre detalhamentos recomendamos o treinamento completo de interiores.

Para saber sobre marketing digital para arquitetos acesse o site emanuelsouto.com.br









Deixe uma resposta